Tiiメルマガ(Vol.23)2021-11-15

ad
ad
ad

Tiiメルマガ(Vol.23)2021-11-15

「情報インフラ」の テック・アイ技術情報研究所 です。
このメルマガは、配信を希望された会員の皆様に、最新の情報をお届けします。
(今回は2021年10月30日~11月14日の新着情報です。)

Tii会員サイトの新着情報

上下水道部門のデータリスト(ver.20210901)
10.上下水道部門のデータリスト(ver.20210901)テック・アイ技術情報研究所で、2021/2/11から8/31...
建設部門のデータリスト(ver.20210901)
9.建設部門のデータリスト(ver.20210901)テック・アイ技術情報研究所で、2021/2/11から8/31の約半...
資源工学部門のデータリスト(ver.20210901)
8.資源工学部門のデータリスト(ver.20210901)テック・アイ技術情報研究所で、2021/2/11から8/31の...

プレミアム会員サイトの新着情報

上下水道部門のデータリスト(ver.20210901)
10.上下水道部門のデータリスト(ver.20210901)テック・アイ技術情報研究所で、2021/2/11から8/31...
建設部門のデータリスト(ver.20210901)
9.建設部門のデータリスト(ver.20210901)テック・アイ技術情報研究所で、2021/2/11から8/31の約半...
資源工学部門のデータリスト(ver.20210901)
8.資源工学部門のデータリスト(ver.20210901)テック・アイ技術情報研究所で、2021/2/11から8/31の...

Tii技術情報の新着情報

原始惑星系円盤のリング構造が惑星形成の歴史を残している可能性を示唆
スーパーコンピュータ「アテルイII」のシミュレーションから、原始惑星系円盤に見られる塵(ちり)のリング状構造が、惑星の存...
世界初、6G 時代の超カバレッジの実現に向けたユーザー追従型メタサーフェス制御の実証に成功
「電波反射方向を制御するメタサーフェス 反射板(RIS反射板)」と 28GHz 帯 5G 基地局を用いて、ユーザーの動き...
均整のとれたレンガ塀構造を持つ有機半導体を開発~優れた電荷移動特性を理論的、実験的に証明~
電子輸送性(n型)有機半導体分子を均等なレンガ塀様式に整列させ、高移動度有機トランジスタに適したフレームワークを構築する...
磁石の中の竜巻(スキルミオンひも)の3次元形状の可視化に成功 ~新しい磁気情報処理手法の開拓に期待~
磁性体の中に存在する「スキルミオンひも(電子スピンが作る竜巻構造)」の3次元形状を可視化することに、世界で初めて成功しま...
電子の集団振動で光子を量子ドットへ運ぶ~表面プラズモンアンテナにより量子インターフェースの高効率化に成功~
表面プラズモンポラリトンという光で励起される電子の集団振動を利用して、半導体横型量子ドットへの光子の照射をより効率的に行...
福徳岡ノ場の火山活動について(11月11日観測)
福徳岡ノ場の11月1日の観測結果と比較し新島の台地はやや縮小しているものの、島の大きさに大きな変化は認められなかった。新...
迅速な自己修復性を示す機能性材料の開発に成功~さまざまな環境で自己修復できる実用材料の開発に期待~
希土類金属触媒を用いることにより、2種類の極性オレフィンとエチレンとの「精密三元共重合」を達成し、迅速な自己修復性能を示...
都内初、ドローンによる有人地帯でのフードデリバリーの実証実験をウォーターズ竹芝で 11 月 20 日に実施
東京都に公募提案した、フードデリバリーサービスの実証実験を実施します。「有人地帯における補助者なし目視外飛行 (レベル ...
最終氷期の沖縄はどのくらい寒かったのか? 〜貝化石と鍾乳石による新しい地質考古学的手法からの復元〜
洞穴遺跡から出土した貝化石と鍾乳洞の鍾乳石(石筍)を用いた新しい地質考古学的手法を構築した。その手法を使用し、最終氷期に...
イプシロンロケット5号機による 革新的衛星技術実証2号機の打上げ結果について
内之浦宇宙空間観測所から2021年11月9日9時55分16秒(日本標準時)に、革新的衛星技術実証2号機を搭載したイプシロ...
地域産業の低炭素化と防災機能強化を両立する地産地消・自立型地域エネルギーシステムを開発
地域産業の低炭素化と防災機能強化を両立する地産地消・自立型地域エネルギーシステムとして、岩見沢市の北村赤川鉱山施設に自立...
人工ニューラルネットワークで明らかになった高温超伝導の隠れた起源
光電子分光データから人工ニューラルネットワーク(ANN)を活用して『自己エネルギー』と呼ばれる物理量を取り出す手法を開発...
高エネルギー分解能LaB6ナノワイヤ電界放出型電子銃の開発
収差補正透過電子顕微鏡に搭載可能なLaB6ナノワイヤ電界放出型電子銃の開発を行い、高いエネルギー分解能と高い電流安定度で...
PETボトルの常温原料化法を開発~資源循環型社会を推進する触媒利用化学リサイクル技術~
PETボトルなどに使用され廃棄されたPET樹脂を、従来よりも大幅に低い温度で分解し、原料であるテレフタル酸ジメチルを高収...
令和3年10月の地殻変動
電子基準点等のGNSS連続観測網(GEONET)の観測結果から求めた、2021年9月下旬から2021年10月下旬までの1...
J-PARCハドロン実験施設で奇妙な粒子と陽子の散乱現象を精密に測定
大強度陽子加速器施設J-PARCのハドロン実験施設で、ハイペロンの一種であるシグマ粒子を大量に生成し、そのシグマ粒子と陽...
アルマ望遠鏡、130億年前の銀河に水分子を発見、銀河SPT0311-58を観測し一酸化炭素分子と水分子が放つ電波を検出。
アルマ望遠鏡の観測により、宇宙初期の巨大な銀河から水が検出されました。イリノイ大学のシュワーニ・ジャルギュラ氏らの研究チ...
地震計データから読み解くコロナ禍による経済・余暇活動の縮小~地震観測以外の新しい活用~
首都圏に設置された地震計データから、新型コロナウイルス感染拡大に伴う経済・余暇活動の縮小を可視化した。地震計データを人間...
核融合プラズマの乱流抑制に新たな可能性
日欧の国際共同研究により革新的核融合炉への新展開米科学誌「フィジカル・レビュー・レターズ」に論文掲載2021-11-05...
一般相対性理論におけるエネルギー概念の革新~ブラックホールの新しい描像と新しい保存量~
重力の量子論を研究する過程で一般座標不変なエネルギーの定義を発見しました。この定義をシュワルツシルトブラックホールに適用...
機器の時系列データから解釈性に優れた物理モデルを自動生成し、 機器の「異常検知」と「異常発生要因の判定」が可能なAI技術を開発
社会インフラ設備における、機器の異常検知と異常発生要因を判定する物理モデルを自動生成するAI技術を開発しました
量子鍵配送と耐量子計算機暗号を組み合わせた 大容量・低遅延光トランスポートネットワークの検証に成功
量子力学の原理に基づき情報理論的に安全性を担保する量子鍵配送(QKD)と、計算量的複雑さにより安全性を担保する耐量子計算...
洪水時に河川から大量流出する土砂が沿岸域の流れ・栄養塩環境を変える
若狭湾丹後海に注ぐ由良川の2013年9月洪水時、川から大量に流出した物質が沿岸海域に広がる過程を、物理―懸濁物―低次生態...
森林火災が北極大気を加熱する黒色炭素粒子の重要な発生源であることを実証
春季の北極大気中の黒色炭素エアロゾル(BC)濃度の年々変動が、中緯度の森林火災の発生規模の年々変動により強く支配されてい...
熱の流れに量子効果が与える影響の解明 ~エネルギーロスのない熱流の発見と、量子熱機関への応用~
量子的な状態の重ね合わせが熱の流れにどのように影響するかの系統的な規則を理論的に明らかにしました。この規則によれば、適切...
OKIとコクヨ、テレプレゼンスロボットを使ったこころとからだの健康性を高めるオフィス向けソリューションの検証を開始
オフィスで健康性を高めるソリューションの共同検証を開始しました。テレプレゼンス機能を搭載したスマート・ロボットに行動変容...
英インマルサット社の次世代通信衛星網「Inmarsat-6」シリーズ初号機衛星を打上げ
第6世代通信衛星(I-6)は、Lバンド通信とKaバンド通信を同時に実現する世界で初めての通信衛星シリーズです。I-6によ...
界面活性剤の作る玉ねぎ構造に隠れた欠陥を発見
界面活性剤の二分子膜が水中で形成する玉ねぎ状の多重膜構造(オニオン構造)の内部に隠れた直線状の欠陥を発見した。オニオン構...
G20の消費はPM2.5の排出を通じて年200万人の早期死亡者を生む
G20諸国の消費者が購入する製品やサービスの生産によって生じるPM2.5(微小粒子状大気汚染物質)発生量を全球規模で推計...
沖縄トラフの伸張・沈降の時期は200万年前以降 ~久米島沖の海丘斜面の堆積岩の年代測定から解明~
久米島の北~北西沖の海丘の斜面から採取した多数の岩石を分析し、久米島に露出する堆積岩と類似していることを明らかにしました...
制御システムの最適化問題をディープニューラルネットワークで解く
「制約付きの非線形システムに対する離散時間確率的最適制御問題」を解く新たな方法として時相深層展開を提案しています。時相深...
世界初、接着剤が引き剥がされるプロセスを電子顕微鏡でリアルタイム観察
電子顕微鏡下で接着剤の剥離過程をリアルタイムで直接観察することに成功した。破壊に至るまでに接着剤の極微小な変形が複雑に進...
アルマ望遠鏡、銀河が星の材料を失うメカニズムに迫る
アルマ望遠鏡を使っておとめ座銀河団を観測し、銀河団内の星の材料の高解像度調査を完了しました。この研究の主目的は、宇宙物理...
南極隕石821個を新たに分類 ~Meteorite Newsletter Volume 28を発行~
南極隕石ラボラトリーは、南極隕石821個を新たに分類し、その結果を掲載した「Meteorite Newsletter V...
国内受託試験所初、「プレスフィット端子部品の実装基板評価サービス」開始
プレスフィット端子部品と基板の接続部に対し、挿入状態・接触状態などを確認する外観観察・断面観察や、温度・湿度などの使用環...
東芝データ、レシート読み取りアプリ「レシートスキャン」の提供を開始
アプリを使用して紙のレシートを撮影すると、自動的に文字情報がデータ化され、店舗名・購入した商品名や金額などを認識し登録す...
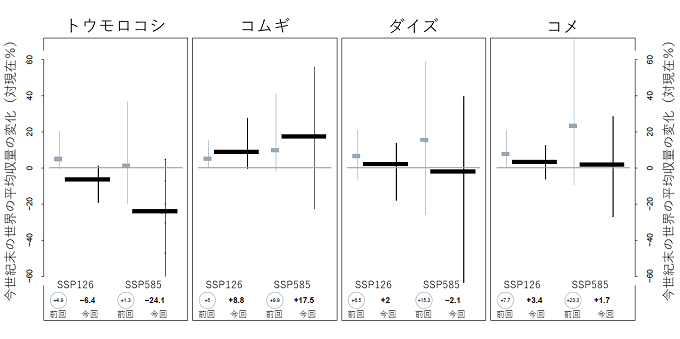
最新の予測では世界の穀物収量に対する 気候変動影響の将来見通しが顕著に悪化
気候変動が進行した場合、今世紀末(2069-2099年)の世界の平均収量は、現在(1983-2013年)に比べて、トウモ...
材料が溶ける不思議”多成分系での共晶溶融現象”を解明~未知物質である福島第一原子力発電所の”燃料デブリ”の性状予測への第一歩~
“固体金属ジルコニウム”と“ステンレス鋼と炭化ホウ素の高温金属融体”を用いて、多成分系での共晶溶融現象を、実験・理論の両...
小脳を模した光ニューラルネット回路 〜超高速・省電力の光リザバー計算チップを実現〜
小脳を模したニューラルネットワークの一種であるリザバー計算を,光を用いて超高速かつ低消費電力で処理可能な新しい光回路チッ...
「8K文化財鑑賞ソリューション」による 『8Kで文化財 みほとけ調査』を東京国立博物館で特別公開
「8K文化財鑑賞ソリューション」とは、「8Kインタラクティブミュージアム」をベースに文化財活用センターおよび東京国立博物...
分割配送を可能にする「コスト最小型ルート配送最適化アルゴリズム」実用化へ~AIによる配送計画自動化の試行運用を開始
AI技術を活用して物流分野におけるルート配送の配送計画を最適化する「コスト最小型ルート配送最適化アルゴリズム」の試行運用...
既設エスカレーター向け移動手すり除菌装置の発売について~紫外線(UV-C)を照射して除菌~
新たに開発した除菌装置は、エスカレーター運行中に紫外線(UV-C)を移動手すりに照射して除菌します。実験の結果、約30分...
AI カメラによる自動撮影・配信ソリューション「STADIUM TUBE」の販売を開始~5G&AI により高精細スポーツ映像の低コスト配信を実現~
パノラマ映像が撮影可能な複数レンズ搭載の AI カメラ「Pixellot(ピクセロット)」を競技場などのスポーツ施設に設...
イネの安定多収に欠かせないケイ酸チャネルの構造基盤を解明
イネ由来ケイ酸チャネルLsi1の立体構造を1.8 Åの解像度で決定しました。立体構造からLsi1がケイ酸を選択的に吸収す...
「JX金属-産総研 未来社会創造 素材・技術連携研究ラボ」を設立
JX金属-産総研 未来社会創造 素材・技術連携研究ラボを設立します。産総研の製造プロセス技術、素材特性の評価技術と、JX...
トポロジカル絶縁体と磁気トンネル接合を集積した 次世代不揮発性メモリー SOT-MRAMの実証に成功
トポロジカル絶縁体と磁気トンネル接合(MTJ)を集積したスピン軌道トルク磁気抵抗メモリー(SOT-MRAM)素子の作製と...
磁性材料におけるスピン変換の機構を解明~スピン変換効率の大幅な向上により、不揮発性磁気メモリーへの応用に道筋
磁性材料において電流がスピンの流れ(スピン流)に変換される現象(スピン変換)の機構を解明し、スピン変換効率の大幅な向上を...
廃水の硝酸塩と太陽光でアンモニアを作る (Combining sunlight and wastewater nitrate to make the world’s No. 2 chemical)
太陽光と硝酸塩を利用した電気化学反応を通じ、他の同様な技術の 10倍の効率で廃水からアンモニアを生成するカーボンニュート...
ワイヤなしで照明、電話、PC に給電する「充電ルーム」システム
建物全体をワイヤレス充電地帯に変換する、安全なワイヤレス給電システムを開発。室内にある導電性の壁や柱が磁場を発生させ、電...
次世代の発光植物 (The next generation of glowing plants)
太陽光や LED の光で充電して発光する植物を開発。LED による 10 秒間の充電後、第一世代発光植物(2017 年開...
半導体設計に革新をもたらす人間の脳の働きに着想したメモリデバイス
卓越したメモリ再構成可能度を持つ分子メムリスタ(電子メモリデバイス)を開発。同分子デバイスは人間の脳のネットワークの柔軟...
細胞農業によるフィンランド産サステナブル・コーヒーの最初の一杯
(Sustainable coffee grown in Finland ? the land that drinks ...

Tii建設技術の新着情報

台車用アルミレール(KT-210071-A)
工事現場の足場上で台車を用いて重量物を運搬する際、敷設したアルミレール上を走らせる技術で、1スパン辺りの最大積載荷重が緩...
環境型塗膜剥離剤「スケルトンシリーズ」(KK-210046-A)
塗膜除去工において、たれづらく、人・環境に優しい塗膜剥離剤の技術であり、経済性と安全性の向上、環境へ負荷軽減、作業時の剥...
工事用浮沈式通船ゲート(KK-210047-A)
ダム・河川等の工事等において、大型船でも、簡単に流木止を通過できる浮沈式通船ゲート。
コーンロック(HK-210008-A)
強風でもカラーコーンの転倒が防止できるウェイトバーで、転倒・飛散による接触事故の防止や、再設置における手間と時間を削減で...
AIにより地震時のため池危険度予測精度が向上 「ため池防災支援システム」
ため池防災支援システム」には、地震時にため池堤体の想定沈下量を算定し、決壊等の危険度を予測・表示する機能があります。過去...
水中バックホウ スーパー ビッグクラブ(KTK-210012-A)
水中作業において基礎捨石均しや構造物取壊し工を機械施工する。
コンクリート製壁高欄における塩化物イオンの吸い上げ低減工法(QS-210036-A)
RC壁高欄の塩害対策に関する技術である。高欄内側下部に設けた切欠+軟質ゴム充填により塩化物イオンの吸い上げを低減する技術...
リサイクル木質成型舗装ブロック(QS-210037-A)
舗装工(ブロック舗装)に関する技術である。間伐材や木廃材を主原料とした木質成型舗装ブロックであるため、リサイクル性に優れ...
掘削機自動停止システム「ライダーストップ」(QS-210039-A)
安全管理に関する技術である。レーザー光で人・モノを検知し、警報と自動停止の2段階で接触事故リスクを軽減するシステム。
エコ型植生基材吹付工「ローカルベース工法」(QS-210040-A)
植生基材吹付工に関する技術である。コストダウンを目的として、①保水性の高い基盤材の開発と②リサイクルの接合材を開発(パル...
トンネル用防水シート「リフレクションシート」(QS-210038-A)
トンネルの防水工に関する技術である。トンネル用の白色防水シートの表面を光沢仕様とすることで、シート表面の反射率を高めトン...
コンクリート製裏型枠工法(QS-210041-A)
コンクリートブロック積工に関する技術で胴込め・裏込コンクリートの裏型枠をコンクリート製とした。
重金属不溶化材「グリーンライムMPシリーズ」(QS-210042-A)
セレンをはじめとした複合汚染土の重金属不溶化が可能。汚染土を盛土等へリサイクルすることが可能となり、残土処理工に寄与する...
一体型中和濁水処理装置(HK-210007-A)
濁水処理に必要な機器と機能を一体化した装置で、狭隘な場所にも設置でき、現地作業も簡素化される。
窒素加圧加熱処理木材 エステックウッド(KT-210068-A)
一切の薬剤を用いずに窒素雰囲気下での加圧加熱処理により木材を改質し耐朽性を高めた。
高効率油圧システム搭載型油圧ショベル(KT-210069-A)
各操作毎のレバー操作量に応じたアクチュエータスピードにより、ポンプ流量の最適化が可能な油圧ショベルで、性能を維持しながら...
アレリオ橋梁点検(KT-210070-A)
橋梁点検業務支援システムで、電子野帳に点検データと写真データを紐付けした状態で記録でき、その情報を元に点検調書作成の自動...
「技術開発年次報告書(令和 2 年度)」を発刊しました
日本下水道事業団(JS)技術戦略部における令和 2 年度の試験研究内容を取りまとめた「技術開発年次報告書(令和 2 年度...
高感度地震計で河川流量を推定する手法を開発 ~局地的な大雨で突発的に発生する河川洪水の予測が可能に~
リアルタイムの洪水予測を目的として、高感度地震計で検出する雑微動記録を解析することで、河川の上流域における流量を推定する...
道路橋用ハイブリッドジョイント3LⅡAタイプ(KT-210067-A)
止水材を接続容易なファスナー式ジャバラ状ゴムシートに変更した道路橋ハイブリッドジョイント3LⅡAタイプで、作業範囲縮少、...

Tii生命科学の新着情報

分布の中心で、メスジカを捕らえる~個体群の分布域周辺部にはオスが、中央部にはメスが多い~
ニホンジカの性比は分布の周辺部と中央部で異なることがわかりました。一定の生息密度に達するまでは、生息密度が高くなるほど角...
原発性免疫不全症の新しい原因遺伝子変異を同定~AIOLOS遺伝子のミスセンス変異~
米国で見つかった原発性免疫不全症(PID)の家族症例の解析から、PIDの新しい原因遺伝子変異としてAIOLOS転写因子を...
難消化性デンプンを豊富に合成するキャッサバ植物の開発~機能性食品の素材開発に貢献~
難消化性デンプンを豊富に含む熱帯植物キャッサバの開発に成功しました。
HER2陽性大腸がんに対する抗HER2抗体併用療法の有効性を確認
HER2陽性の治癒切除不能な進行・再発大腸がんに対して、ペルツズマブとトラスツズマブの抗HER2抗体併用療法の有効性・安...
精神疾患の新たなリスク要因(砂糖の過剰摂取)と表現型(脳毛細血管障害)を発見
思春期における砂糖の過剰摂取が精神疾患(統合失調症と双極性障害を指す)発症の新たな環境リスク要因となりうることを、新たな...
「iPS細胞由来ナチュラルキラー細胞を用いた卵巣がん治療に関する治験」における第一症例目の移植実施について
卵巣がん患者さんにヒトiPS細胞由来ナチュラルキラー(NK)細胞の細胞移植を実施した。京都大学iPS細胞研究財団が提供す...
くびの脊髄損傷:24時間以内の緊急手術で麻痺の回復促進
大学病院など全国43施設においてランダム化試験をおこない、非骨傷性頚髄損傷(骨折のない頚髄損傷)に対する早期手術の有効性...
変動する環境における、細菌の細胞サイズ分布にまつわる普遍性の発見
細菌集団の環境を高度に制御する新しいデバイスを構築し、栄養飢餓に対する大腸菌集団の応答の様子を観察した。細菌の細胞サイズ...
ゲノム編集と4種オルガネラの蛍光可視化を同時に実現
原始的な真核生物である単細胞紅藻シゾンにおいて、4種のオルガネラの蛍光可視化とゲノム編集を同時に実現する新たな分子生物学...
新たな大理石骨病とその原因遺伝子を発見
新たなタイプの骨の遺伝性難病、「Ikegawa型大理石骨病(osteopetrosis,Ikegawa type)」を発...
電子カルテシステムとAI診療支援を連携させた実証実験を開始
コロナ禍における医療機関の問診に関わる負担軽減や診療の質向上のため、AI診療支援の実証実験を名古屋医療センターにおいて開...
不均一系キラルLewis酸触媒を用いる光学活性化合物の連続合成を達成
有機合成における不斉触媒反応で広く用いられるキラルLewis酸触媒の汎用的かつ効率的な固定化手法の開発に成功した。代表的...
哺乳類のゲノムに隠された古代ウイルス~古代ウイルス特有の遺伝子制御機構の発見~
哺乳類ゲノムの内在性レトロウイルスの解析により、太古のレトロウイルスに共通する遺伝子の発現制御配列を発見しました。
全がん協加盟がん専門診療施設の診断治療症例について
5年生存率、10年生存率データ更新 グラフデータベースKapWeb更新2021-11-10 全国がんセンター協議会,国立...
指定難病に関わるタンパク質が脂質の二重層内移動を促進~病態に関わる脂質移動の新しいメカニズムの解明~
神経疾患に関わる「PMP2タンパク質」が細胞膜を構成する脂質の一種である「スフィンゴミエリン」を細胞膜の脂質二重層の外層...
GABAを標的とする抗腫瘍免疫機構~代謝産物を介した免疫細胞間制御の一端を解明~
神経伝達物質GABAが末梢の活性化B系統細胞により、合成および分泌されることを発見した。B細胞由来のGABAは、単球から...
共生細菌のちからで害虫が農薬に強くなる助け合いの仕組みを解明~共生細菌による農薬解毒を宿主昆虫が助けていた~
害虫が腸内の共生細菌との作用で農薬抵抗性を獲得する仕組みを初めて解明した。昆虫と共生細菌が助け合って農薬を解毒する仕組み...
多種多様な酸化リン脂質を網羅的に捉える解析・可視化技術を開発
様々な疾患の原因物質である酸化リン脂質の包括的構造ライブラリーおよび可視化技術を開発しました。
小脳の大規模可視化に成功~マウス小脳における感覚情報表現の仕組みを解明~
小脳全体で時々刻々と変化する感覚入力をリアルタイムで表現していることを見いだしました。「セグメント」と呼ばれる小区域の活...
生体内の病原性寄生虫トキソプラズマの寄生胞膜を認識する仕組みを解明~Irgb6の結晶構造解析に成功~
病原性寄生虫トキソプラズマ原虫の殺傷に関わるタンパク質であるIrgb6の結晶構造解析に成功しました。その分子構造をもとに...
胎児の神経を形作る仕組みは精密な温度センサー ~母体の体温維持が神経の成熟に重要であることを示唆~
精製したたんぱく質は熱に弱く、機能を失いやすいため、体温付近での性質を調べるのが一般に困難。赤外レーザーによる精密加熱技...
遊離型抗体の構造活性相関解析を迅速に評価可能とする新手法を開発
数百の遊離型抗体の結合能を一斉に評価できるシステムを開発し、抗体の構造活性相関を迅速に解析可能としました。
生まれ順が遅い子どもが他者を助けやすい脳神経メカニズムを解明
約3,000名の10歳児を対象とした東京ティーンコホート調査から、生まれ順が遅い思春期児は他者を助ける傾向が高いことを明...
クロマチンの持つ固体と液体の性質 The solid and liquid states of chromatin.
クロマチン相分離の歴史、その決定要因とメカニズムについて詳述しました。また、In vitroおよび核内におけるクロマチン...
アルツハイマー病の早期診断マーカーとしてのオプティックフロータスク時の脳磁計測の有用性を報告
オプティックフロー(OF)タスク時の前頭前野背外側皮質(DLPFC)における脳磁計測がアルツハイマー病による軽度認知障害...
法面緑化の現状をヨモギの集団遺伝構造から解明
緑化によく用いられる在来種ヨモギについて、日本各地の自生地や緑化地で採取した個体と、2種類の中国産緑化種子から育成した個...
エイズウイルスの完全排除に繋がる免疫応答の誘導 ~エイズ根治を導くワクチン療法の開発~
アジュバント分子組み込み弱毒ウイルスを用いて、エイズウイルスを生体内から完全に排除することに成功しました。
土壌動物の多くは落葉分解者として機能していない?~トビムシの餌炭素年齢から従来の常識が覆る~
森林などの陸域生態系で優占するトビムシをはじめとする土壌動物の多くの分類群が、落葉など枯死有機物の分解者として機能してい...
世界初:化粧品の光感作性を予測するための公的な安全性データベースが経済協力開発機構(OECD)から公開
化粧品の光感作性を予測するための公的な安全性データベースが経済協力開発機構(OECD)から公開。
半数体生物の性染色体上の性決定遺伝子を解明 ~コケがもつ現生生物最古の起源の性染色体~
半数体において性別が決まるコケ植物のゼニゴケから性決定遺伝子を同定しました。
デュシェンヌ型筋ジストロフィーにおける筋収縮力低下のメカニズムの一端を解明
デュシェンヌ型筋ジストロフィー(DMD)患者さん由来iPS細胞を用いて、ストア依存性Ca2+チャネルの一つであるOrai...
植物の組織修復と接ぎ木における器官再接着に必要な転写因子を発見
モデル植物のシロイヌナズナを用いた研究によって傷口の治癒と器官の再接着に必要な転写因子「WOX13」を発見しました。WO...
“地上最強生物”クマムシの乾燥耐性の仕組みの解明に挑む
クマムシの乾燥耐性メカニズムを探究する研究を行っています。クマムシの細胞内にみられるタンパク質のかたちとふるまいを詳しく...
加熱式タバコ使用によるDNAメチル化および遺伝子発現への影響が明らかに
火を使い燃焼させる従来型の紙巻きタバコ(従来型タバコ)から加熱式タバコへ切り替えた人のDNAメチル化および遺伝子発現パタ...
脳型ドレブリンを指標としたヒトiPS細胞由来神経細胞のシナプス成熟評価法の開発とシナプス形成過程の解明
脳型ドレブリンを指標としたシナプス成熟評価法を開発し、ヒトiPS細胞から分化誘導して作製したヒトiPS細胞由来神経細胞の...
メタボリックシンドロームを制御する代謝産物センサー分子を発見
細胞内の代謝の過程で生じる代謝産物とそれに反応する代謝産物センサー分子を用いると、メタボリックシンドロームの病態が適切に...
組織の細胞集団に潜む幹細胞のエピゲノム解析手法を開発 ~がん組織の精密プロファイリングに成功~
一辺3ミリ 厚さ10マイクロメートル程度の小さな組織切片に含まれる少数の細胞集団から、高感度かつ高精度なエピゲノム情報を...
SARS-CoV-2ミュー株(B.1.621系統)は ワクチン接種者が保有する中和抗体に対して極めて高い抵抗性を示す
新型コロナウイルスの「注目すべき変異株」の1つである「ミュー株(B.1.621系統)」が、新型コロナウイルスに感染した人...
「代謝経済学」によるがん細胞の代謝戦略の解明~代謝のワールブルク効果のメカニズムを 経済学のギッフェン財との対応から解き明かす~
がん細胞などが、エネルギー生成効率の低い代謝経路を主に用いるという、ワールブルク効果と呼ばれる一見不合理な挙動を普遍的に...
8K腹腔鏡手術システムによる映像を伝送し遠隔で手術支援を行う~世界初の実証実験で医学的有用性を確認
8K映像システムで手術映像をリアルタイムに送受信し、遠隔で手術を支援(指導)するシステムを開発し、世界初の実証実験で医学...
実患者における同種造血幹細胞移植後のサイトメガロウイルス特異的細胞傷害性T細胞の特徴
同種造血幹細胞移植後の実際の患者検体を用いて、移植後合併症として非常に重要なサイトメガロウイルスの再活性化に着目し、サイ...
移植腎の三次リンパ組織は腎予後と関連することを解明~従来の評価指標とは独立して高リスク群を同定可能に~
生体腎移植を受けた214名の患者を対象に、プロトコル腎生検サンプルと腎予後を解析しました。移植腎の約2割で進行した「ステ...
小胞体における構造異常糖タンパク質分解メカニズムの解明〜糖鎖の分解シグナルはどのように露出するか?
小胞体における糖鎖のマンノース切除酵素を精製してその活性を同定することに成功しました。小胞体の構造異常糖タンパク質を分解...
微生物叢中のゲノム配列を長く正確に決定する新手法~未知の種や変異株のゲノム配列決定を促進~
微生物叢中のゲノムの新規配列決定を行う情報解析手法を開発した。本研究で開発されたソフトウェアである「MetaPlatan...
表皮幹細胞による皮膚再生と加齢変化の仕組みを解明~高齢者の皮膚潰瘍の治療法開発に期待~
加齢による皮膚再生能力低下の原因が、XVII型コラーゲンの分解による表皮幹細胞の運動能低下であることをつきとめました。
最長寿げっ歯類ハダカデバネズミから神経幹細胞の単離と培養に成功~脳の老化やがんを防ぐ方法の開発に貢献~
老化しにくい・がんになりにくい最長寿げっ歯類ハダカデバネズミから神経幹細胞を単離・培養することに成功しました。ハダカデバ...
大量遺伝情報研究室が株式会社アンプラットと共同で猫ゲノムDB「Cats-I」の共同研究を開始
猫ゲノムインフォマティクスDB「Cats-I」の開発プロジェクトにおいて共同研究を開始いたしました。
NIESカルチャーコレクションのシアノバクテリアの網羅的かつ高精度なゲノム解析に成功
NIESが保管する28株のヘテロシスト形成株と3株の非形成株,あわせて31株のシアノバクテリアの高精度なゲノム情報の整備...
このメールは、会員プランにご登録いただいた方に、毎月2回(15日、30日)送信しております。
このメール宛にご返信いただいてもお答えすることができません。ご了承ください。
お問い合わせはこちらまで:info@tiisys.com
[配信停止]
メールの受信をご希望されない場合は、こちらよりお手続きお願い致します。
©2017 テック・アイ技術情報研究所
メルマガ
ad
ad
ad